Volume 9 - Year 2023 - Pages 25-29
DOI: 10.11159.ijmmme.2023.004

Influence of the Stoichiometric Ratio of Different Chlorination Agents on the Selective Chlorination of Trace Elements from Goethite

Rana Ahmed1, and Stefan Steinlechner1

1 Montanuniversität Leoben, Chair of Nonferrous Metallurgy
Franz Josef Straße, Leoben, Austria 8700
rana.mohamed-abdelmonnem-ahmed@unileoben.ac.at

Abstract - In this paper, an investigation of the selective chlorination of targeted elements from goethite residues is performed. Goethite is an iron precipitated residue which results from the zinc industry, it contains many valuable elements as well as heavy elements. The recycling of these elements is economically and environmentally beneficial. The aims of this investigation are to recover the targeted valuable elements from the goethite, and to explain the fundamentals of the chlorination process. The effects of using different chlorination agents, such as aluminium chloride hexahydrate and magnesium chloride hexahydrate, as well as the influences of using various stoichiometric amounts of these agents, are studied with regard to how effectively the targeted elements are extracted. It was found that the targeted elements can be extracted more effectively using magnesium chloride hexahydrate.

Keywords: Selective chlorination – Goethite – Pyrometallurgical treatment - Stoichiometric amount.

© Copyright 2023 Authors This is an Open Access article published under the Creative Commons Attribution License terms. Unrestricted use, distribution, and reproduction in any medium are permitted, provided the original work is properly cited.

Date Received: 2023-08-10
Date Revised: 2023-09-20
Date Accepted: 2023-09-28
Date Published: 2023-10-12

1. Introduction

There are millions of tons of iron precipitation residues produced every year. The zinc hydrometallurgy produces an estimation of more than 1 million tons in China and approximately 600 000 tons in the European union [1, 2] of jarosite and goethite which are usually discarded. These residues contain significant amounts of zinc, nickel, and lower concentrations of lead, indium, silver, and other valuable and heavy elements [3].

The recycling of these materials is favourable because of their content of valuable elements. There were many attempts to recover these elements from jarosite and goethite through hydrometallurgical and pyrometallurgical routes [4]. The prime focus of this paper is recovering these elements from goethite.

2. Related Work

Goethite chemical formula is FeO.OH, it is a solid precipitation which is produced in the zinc industry [2] specifically from the zinc electrolytic process, it is a product of the leaching and purification step [5]. This is an essential process because iron is considered as an impurity in zinc solutions, thus the iron is precipitated as goethite [6].

Goethite has high iron content, significant amount of zinc, and less amounts of lead, indium, silver, copper, and other traces of valuable elements [4].

The disposal of goethite represents an environmental challenge as it is disposed in open landfills and it is not economically efficient due to its content of valuable elements, thus recycling is favourable [7]. There were many efforts in order to take advantage of the goethite by utilize it for iron making [6] or by recovering certain elements which goethite contain within its iron matrix. Another method was to convert it to glass ceramic [5].

One approach used a pyrometallurgical route to recycle zinc and iron from goethite, the residue was roasted and reduced to transform ferric oxides to elemental iron, the resulted material is then subjected to magnetic separation which resulted in two products, one is magnetic and enriched in iron and one was nonmagnetic and enriched in zinc [2].

The benefit of selective chlorination is that it uses the chlorine element, which has a high reactivity to several compounds at relatively low temperature. The procedure includes selective extraction of elements which are contained in the residue [8].

In this paper, an environmental aspect is considered, and carbon is not used as reduction agent which makes the experimental concept sustainable and moves towards a greener environment. An economical aspect is considered as well by attempting to recover zinc which is a valuable element from the iron matrix of goethite.

3. Experimental

A developed selective chlorination experiments were performed on the goethite; the chemical analysis of the material is seen in Table 1. As seen significant amount of zinc can be found as well as lower concentrations of lead, indium, silver, copper, and other valuable elements.

Table 1 Chemical analysis of goethite

Fe

29.1

Mg

0.15

S

7.16

Al

0.89

K

0.2

Zn

9.6

Ca

4.78

Pb

0.68

Au

0.0264

In

0.041

Ag

0.0136

Cu

0.9113

Sn

0.0308

Bi

0.0181

The developed concept for the extraction of the targeted elements is as seen in Figure 1. The pyrometallurgical treatment is simulated in the simultaneous thermal analysis (STA) machine Netzsch STA 409 PC 409 Luxx.

Sample evaluation was performed by studying the thermogravimetric analysis (TG) thermograms which resulted from the STA. The thermograms determine the mass loss of the material and its decomposition mechanism.

The product material of the reaction is then evaluated in the scanning electron microscopy with energy-dispersive X-ray spectroscopy (SEM/EDX) where the morphology of the material was studied before and after the thermal treatment. Furthermore, the EDX was used to determine the efficiency of extraction of the targeted elements.

The targeted elements for the present investigation were zinc, silver, gold, Indium, lead, bismuth, and tin. These should be extracted as metal chlorides.

Figure 1. General flow chart of the process.

The original goethite material before the chlorination treatment was subjected to a thermal treatment in the STA to investigate its decomposition mechanism.

The main experiments began by mixing goethite with one of two chlorination agents: Aluminium chloride hexahydrate AlCl3.6H2O or magnesium chloride hexahydrate MgCl2.6H2O. The final weight of the mixture was 100 mg. The mixture was then subjected to thermal treatment up to 1000°C using a heating rate of 50°C/min, followed by an isothermal hold at the same temperature for 40 minutes, and finally cooled down using a cooling rate of 25°C/min.

The aim of the experiments was to optimize the extraction rate of zinc as well as other targeted elements by altering some parameters. The parameters included the use of two chlorination agents, and the use of different stoichiometric amounts of these chlorination agents.

In this set of experiments, the main variable was altering the stoichiometric amounts of the chlorination agents to achieve the maximum extraction of the targeted elements. Therefore, the stoichiometric quantities were calculated to be ratio of targeted metal content of the goethite: Chlorination agent amount. To elaborate more, the demand for the chlorination agent was calculated according to the valency of the respective targeted element. Therefore, 3 ratios for each chlorination agent were used in the present study. This can be more explained as seen in Figure 2.

Figure 2. Different chlorination agents and their stoichiometric amounts used in the treatment of goethite.

4. Results

The objective of this methodology is to selectively obtain the targeted elements in the form of metal chlorides. Achieving a higher extraction rate, closer to 100%, ensures the full volatilization of the targeted elements.

For each chlorination agent

  • The efficiency of extraction of the targeted elements was investigated for each stoichiometric ratio.
  • The decomposition mechanism was studied using the results of the STA machine.

The experiments were performed on a laboratory scale, this can be a limitation because the results may slightly differ when applied on an industrial scale which means that the results may need to be scaled up and validated for industrial applications. Despite this limitation, the results are highly accurate and thus provide insight into the decomposition mechanisms of the gothite and its behaviour when subjected to a selective chlorination treatment.

4. 1. Efficiency of extraction

An equation of efficiency of extraction was developed to conclude the results of the EDX analysis and their association with the studied stoichiometric amounts and chlorination agents. See Equation 1.

E for efficiency of extraction:

(1)

Where 𝑚𝑖𝑛𝑝𝑢𝑡: The input weight of the mixture, 𝑚𝑜𝑢𝑡𝑝𝑢𝑡: The output weight of the mixture,

𝑊𝑖: The weight percent of the targeted element in the input mixture, and 𝑊𝑓: The weight percent of the targeted element in the output mixture.

For both chlorination agents, the efficiency of extraction was calculated to be approximately 99 % for silver, gold, Indium, lead, bismuth, and tin. It was also found that the altering of the stochiometric amounts does not affect the extraction efficiency for these elements.

Table 2 shows the efficiency of extraction of zinc for every chlorination agent and every stochiometric amount used of them. For both chlorination agents, the highest efficiency was obtained by using the highest ratio of chlorine in the mixture, while the lowest efficiency was obtained by using the lowest stoichiometric amount.

Table 2. Efficiency of extraction of zinc from goethite after the thermal treatment using different amounts of different chlorination agents.

Stoichiometric amount

 

E (%)

E (%)

AlCl3.6H2O

MgCl2.6H2O

*2

59

74

*4

64

82

*6

70

92

4. 2. STA thermal analysis results

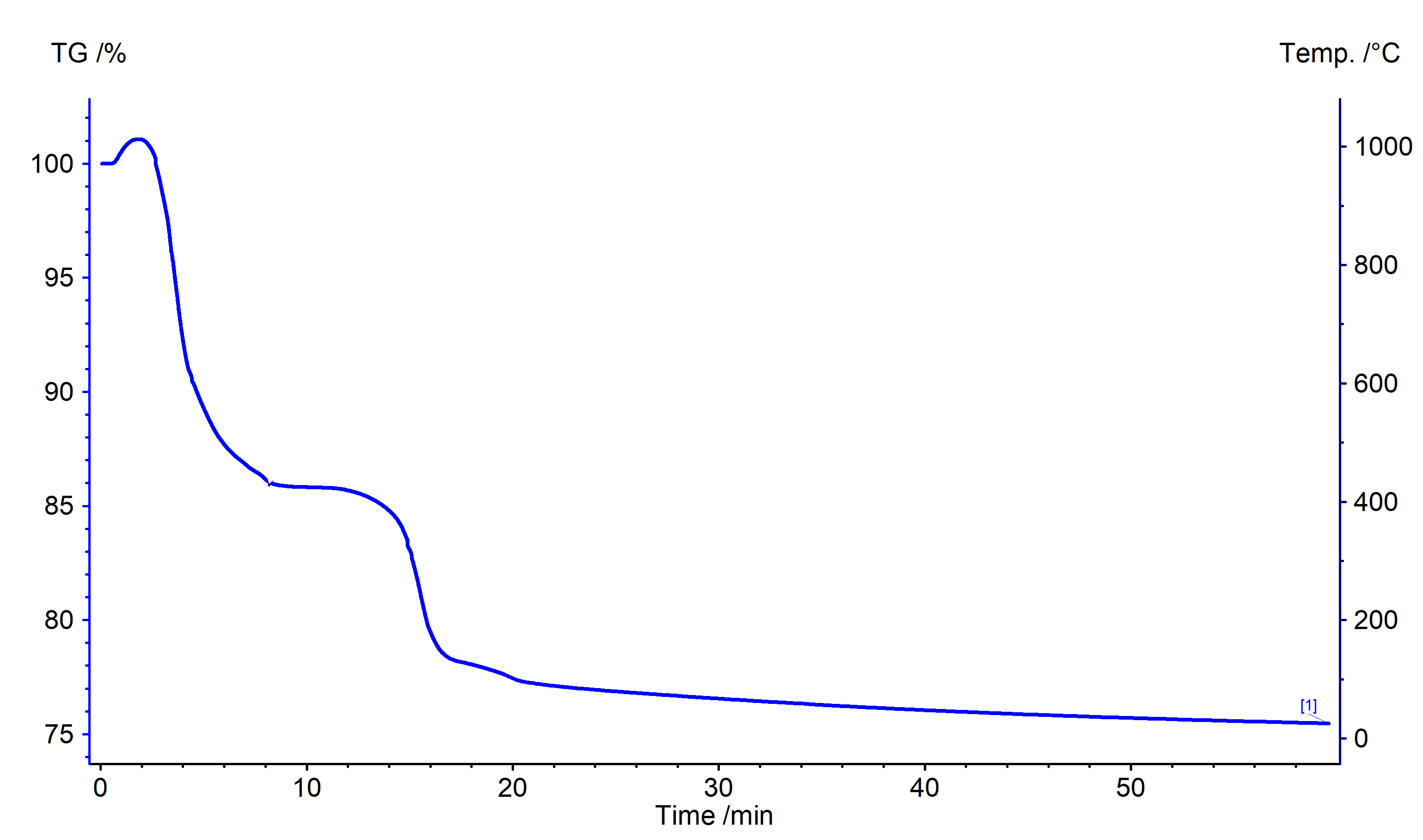
The thermogravimetric analysis (TG) of the goethite before treatment is shown in Figure 3, the curve illustrates a decrease in the mass which is seen in the 2 steps of decomposition with a total mass loss of approximately 25 wt.-%. This mass loss can be attributed to the dehydration of the goethite as well as the loss of sulfuric compounds.

Figure 3. Original goethite material thermal analysis curve.

In literature, the proposed mechanism of goethite decomposition is depicted as seen below in the chemical equation 2. The beginning of the transformation was detected at approximately 200°C, and the decomposition ended at 700°C [9].

(2)

The findings of this investigation differ from the literature as the decomposition ended at 1000°C, and the decomposition started shortly after the beginning of the thermal treatment. This difference can be attributed to the hydrates which are contained in each material. However, the findings agree with the literature in the proposed equation of decomposition.

4. 3. TG for the mixtures of goethite and chlorination agents

The aim of changing the ratio of the chlorination agent in the mixture is to determine the most suitable amount that ensured the full extraction of the targeted elements.

Figure 4 shows a comparison between the thermogravimetric analysis of the mixtures of goethite and the two chlorination agents AlCl3.6H2O and MgCl2.6H2O for each stoichiometric amount.

The curves show a trend of mass decrease with elevating temperature. This mass loss is attributed to the volatilization of targeted elements as well as hydrates form the mixture. Notes on the STA results:

  • The decomposition mechanism of the goethite mixed with AlCl3.6H2O consisted of 2 steps in comparison to multiple steps for the MgCl2.6H2O, this difference in mechanism can be attributed to the different intermediate compounds which are formed and fully consumed during the thermal treatment.
  • For AlCl3.6H2O, the mass loss had always been lower than MgCl2.6H2O, and it was respectively 60 wt.-%, 67 wt.-%, and 70 wt.-% for the corresponding stoichiometric amounts.
  • For MgCl2.6H2O, the mass loss was respectively 63 wt.-%, 70 wt.-%, and 73 wt.-% for the corresponding stoichiometric amounts.
Figure 4. Comparison of the different chlorination agents mixed with goethite using different stoichiometric amount where (a) 2* stoichiometric amount, (b) 4* stoichiometric amount, and (c) 6* stoichiometric amount.

5. Conclusion

Goethite was subjected to chlorination treatment under the effect of high temperature. The usage of different chlorination agents AlCl3.6H2O, and MgCl2.6H2O was intended to determine the most suitable configuration for achieving the most efficient extraction for zinc and other targeted elements.

The most effective configuration for the reactants is the goethite mixed with 6 * stoichiometric amount of MgCl2.6H2O, this resulted in 92 % of efficiency of extraction for zinc. Overall, the MgCl2.6H2O performed better than AlCl3.6H2O in extracting the zinc from the goethite.


References

[1] Ju, S. H., Zhang, L. B., Peng, J. H., Zhe, S. H. I., Guo, S. H., Liu, B. G., & Wang, Y. J., "Thermodynamics of leaching roasted jarosite residue from zinc hydrometallurgy in NH4Cl system," Transactions of Nonferrous Metals Society of China, vol. 23, no. 4, pp. 1179-1183, 2013. View Article

[2] L. Piga, L. Stoppa, and R. Massidda, "Recycling of industrial goethite wastes by thermal treatment," Resources, Conservation and Recycling, vol. 14, no. 1, pp. 11-20, 1995. View Article

[3] S. Steinlechner and L. Höber, "CO2-Optimized Recovery of Special Metals from Precipitation Residue by Selective Chlorination," in the minerals, metals & materials series, Rare Metal Technology 2022, T. Ouchi et al., Eds., 1st ed., Cham: Springer, 2022, pp. 237-244. View Article

[4] L. Hoeber and S. Steinlechner, "A comprehensive review of processing strategies for iron precipitation residues from zinc hydrometallurgy," Cleaner Engineering and Technology, vol. 4, p. 100214, 2021. View Article

[5] M. Pelino, C. Cantalini, C. Abbruzzese, and P. Plescia, "Treatment and recycling of goethite waste arising from the hydrometallurgy of zinc," Hydrometallurgy, vol. 40, 1-2, pp. 25-35, 1996. View Article

[6] T. Yue, Z. Xu, Y. Hu, H. Han, and W. Sun, "Magnetic Separation and Recycling of Goethite and Calcium Sulfate in Zinc Hydrometallurgy in the Presence of Maghemite Fine Particles," ACS Sustainable Chem. Eng., vol. 6, no. 2, pp. 1532-1538, 2018. View Article

[7] L. Höber, K. Witt, and S. Steinlechner, "Selective Chlorination and Extraction of Valuable Metals from Iron Precipitation Residues," Applied Sciences, vol. 12, no. 7, p. 3590, 2022, doi: 10.3390/app12073590. View Article

[8] N. Kanari, E. Allain, R. Joussemet, J. Mochón, I. Ruiz-Bustinza, and I. Gaballah, "An overview study of chlorination reactions applied to the primary extraction and recycling of metals and to the synthesis of new reagents," Thermochimica Acta, vol. 495, 1-2, pp. 42-50, 2009. View Article

[9] H. Naono, K. Nakai, T. Sueyoshi, and H. Yagi, "Porous texture in hematite derived from goethite: Mechanism of thermal decomposition of geothite," Journal of Colloid and Interface Science, vol. 120, no. 2, pp. 439-450, 1987, doi: 10.1016/0021-9797(87)90370-5. View Article